衛星繞行週期,與半長軸有關,與eccentricity無關,原理及實際案例說明
- Wu Chih-Chien

- 1月22日
- 讀畢需時 3 分鐘
🌍 為什麼衛星繞行週期只與「半長軸」有關,而與「偏心率」無關?
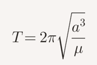
核心原因來自克卜勒第三定律:

(T):軌道週期
(a):軌道半長軸
(μ):地球重力參數(常數)
👉 公式裡完全沒有 eccentricity(偏心率 e)這意味著:
只要半長軸相同,不管軌道是圓的、橢圓的、扁的、瘦的,週期都一樣。
🧠 為什麼會這樣?(物理直覺)
1. 地球重力是「中心力」
地球的重力只取決於距離 (r),方向永遠指向地心。在這種中心力場中,軌道能量只取決於半長軸:

能量決定週期
能量只由 a 決定
偏心率不影響能量
因此週期自然也只由 (a) 決定。
2. 偏心率只決定「速度分布」,不決定「平均速度」
偏心率高 → 近地點速度快、遠地點速度慢
偏心率低 → 速度比較均勻
但整體來說:
快的地方更快、慢的地方更慢,兩者剛好互相抵消,使得整體週期保持不變。
這是橢圓軌道的美妙之處。7
🛰️ 實際案例:ISS vs. 一顆偏心 LEO 衛星
案例 1:ISS(幾乎圓軌道)
近地點:≈ 420 km
遠地點:≈ 421 km
偏心率:≈ 0.0006
半長軸:≈ 6780 km
週期:約 92.6 分鐘
案例 2:一顆高度偏心的 LEO 衛
近地點:300 km
遠地點:700 km
偏心率:≈ 0.029
半長軸:

週期:

比較:ISS vs 偏心 LEO 衛星
衛星 | 偏心率 e | 半長軸 a (km) | 週期 T (min) |
ISS | 0.0006 | 6780 | 92.6 |
偏心 LEO | 0.029 | 6878 | 94.6 |
你會注意到:
偏心率差了 50 倍以上
週期差異卻主要來自 半長軸不同
若兩者半長軸相同 → 週期會完全一樣
🛰️ 更極端案例1:Molniya 高偏心軌道(e ≈ 0.74)
Molniya 軌道參數:
近地點:≈ 500 km
遠地點:≈ 39,700 km
偏心率:0.74(非常高)
半長軸:≈ 26,600 km
週期:12 小時(精準)
Molniya 的週期之所以是 12 小時👉 不是因為偏心率 0.74,而是因為半長軸被設計成 26,600 km。
🛰️ 更極端案例2:Tundra 軌道(Tundra Orbit):
🌟 核心特徵
偏心率 e ≈ 0.2–0.4(高偏心)
半長軸 a ≈ 42,164 km(與 GEO 相同)
週期 = 24 小時(與地球自轉同步)
傾角 ≈ 63.4°(臨界傾角,避免近地點旋轉)
近地點低、遠地點高(apogee over target region)
👉 它是一種「高度橢圓、但週期與 GEO 相同」的軌道。
🎯 為什麼Tundra 軌道要用高偏心率?
因為高 e 會讓衛星在遠地點(apogee)停留很久。
在遠地點速度慢
在近地點速度快
這是開普勒第二定律的直接結果
Tundra 利用這點,讓衛星在「北半球上空」停留超過 12 小時,提供類似 GEO 的覆蓋,但:
不需要在赤道上空
不受 GEO 軌道擁擠限制
適合高緯度國家(加拿大、俄羅斯、北歐)
🛰️ Tundra 與 Molniya 的比較
特性 | Tundra | Molniya |
偏心率 e | 0.2–0.4 | 0.7–0.75(更高) |
週期 | 24 小時 | 12 小時 |
半長軸 a | GEO 等級 | MEO–HEO |
停留區域 | 北半球 | 北半球 |
用途 | 通訊、廣播、導航 | 通訊、軍事、偵察 |
📡 Tundra 軌道實際應用案例
⭐ 1. Sirius XM(美國衛星廣播)
Sirius XM 使用 Tundra 軌道 來提供北美廣播服務。
原因:
GEO 在赤道上空 → 北緯地區仰角太低
Tundra 在北半球遠地點 → 仰角高、訊號穩定
⭐ 2. Tundra 軌道提供北極地區通訊
高緯度地區(如加拿大北部、阿拉斯加、挪威)無法使用 GEO 衛星,因為:
GEO 仰角太低
容易被山脈、建築遮蔽
Tundra 提供:
高仰角
長時間停留
穩定通訊
⭐ 3. GNSS(導航)補強
俄羅斯 GLONASS 曾研究使用 Tundra 衛星來補強北極導航。
以下是使用STK Connect Commands,快速設定六個不同只有衛星名稱以及離心率不同,其他軌道參數都相同的六條軌道,其中第六個紫色軌道的離心太大,實際上將會與地球碰撞。
SetUnits / km
New / */Satellite MYISS1
OrbitWizard */Satellite/MYISS1 OrbitDesigner SemimajorAxis 10000 Eccentricity 0 Inclination 51.633 ArgumentOfPerigee 41.9176 RAAN 306.7706 TrueAnomaly 318.2407 Color White
New / */Satellite MYISS2
OrbitWizard */Satellite/MYISS2 OrbitDesigner SemimajorAxis 10000 Eccentricity 0.001 Inclination 51.633 ArgumentOfPerigee 41.9176 RAAN 306.7706 TrueAnomaly 318.2407 Color Yellow
New / */Satellite MYISS3
OrbitWizard */Satellite/MYISS3 OrbitDesigner SemimajorAxis 10000 Eccentricity 0.01 Inclination 51.633 ArgumentOfPerigee 41.9176 RAAN 306.7706 TrueAnomaly 318.2407 Color Red
New / */Satellite MYISS4
OrbitWizard */Satellite/MYISS4 OrbitDesigner SemimajorAxis 10000 Eccentricity 0.1 Inclination 51.633 ArgumentOfPerigee 41.9176 RAAN 306.7706 TrueAnomaly 318.2407 Color Cyan
New / */Satellite MYISS5
OrbitWizard */Satellite/MYISS5 OrbitDesigner SemimajorAxis 10000 Eccentricity 0.2 Inclination 51.633 ArgumentOfPerigee 41.9176 RAAN 306.7706 TrueAnomaly 318.2407 Color Magenta
New / */Satellite MYISS6
OrbitWizard */Satellite/MYISS6 OrbitDesigner SemimajorAxis 10000 Eccentricity 0.3 Inclination 51.633 ArgumentOfPerigee 41.9176 RAAN 306.7706 TrueAnomaly 318.2407 Color Blue
New / */Satellite MYISS7
OrbitWizard */Satellite/MYISS7 OrbitDesigner SemimajorAxis 10000 Eccentricity 0.4 Inclination 51.633 ArgumentOfPerigee 41.9176 RAAN 306.7706 TrueAnomaly 318.2407 Color Pink




留言